涂魔师助力美国AAM公司非接触式精准在线测量扭转减震器的粘胶剂涂层膜厚
摘要:测量汽车零部件的胶粘剂涂层厚度要精确到微米级,才能很好避免产品出现质量问题、返工和客户投诉。美国知名汽车零部件制造商AAM公司成功引入涂魔师非接触式无损在线测厚系统,用于替换传统的干膜测厚方法,有效提高产品质量和优化工艺,节省成本。
摘要:测量汽车零部件的胶粘剂涂层厚度要精确到微米级,才能很好避免产品出现质量问题、返工和客户投诉。美国知名汽车零部件制造商AAM公司成功引入涂魔师非接触式无损在线测厚系统,用于替换传统的干膜测厚方法,有效提高产品质量和优化工艺,节省成本。
测量汽车零部件的胶粘剂涂层厚度要精确到微米级别,才能很好避免出现产品质量问题、返工工序和客户投诉现象。在投入使用瑞士涂魔师非接触式无损湿膜测厚系统之前,美国知名汽车零部件制造商AAM公司一直在使用显微镜和磁感应测厚仪的传统涂层厚度测量方法,但发现它们存在不少测量缺点。在橡胶-金属粘胶剂Chemosil和Chemlok的生产厂家Lord支持下,AAM成功引入涂魔师非接触式无损在线测厚系统,并替换了传统测厚方法。
尤其对于汽车重载组件,如在传动系统中的组件,选择合适精准的技术检测胶粘剂涂层厚度在汽车工业中显得特别重要。若零部件的胶粘剂涂层厚度不在合格范围内,会导致产品磨损速度加快,出现功能故障,最终换来昂贵的维修和返工费用。
扭转减振器属于汽车部件在主要重载组件。位于曲轴上的旋转元件用于?;け渌傧涿馐艽踊钊角岬亩Υ讨胁姆逯蹈涸赜跋臁Eぷ跽衿饔赏獠糠陕趾桶沧霸谇嵘系哪诓柯朱弊槌?。
通过硫化工艺能有效防止曲轴振动——使用仅有几微米厚的粘胶剂将橡胶层粘附在轮毂和外部飞轮环之间。组装扭转减振器之前,先将粘胶剂涂覆在飞轮环和轮毂的内部,在这过程中实时高效监测胶粘剂的涂层厚度:如果粘胶剂涂层过厚,涂层会出现破裂情况;如果涂层过薄,则粘合强度不够,导致橡胶层脱落,产生不必要的噪音和对汽车变速器的损坏情况。
通过非接触式无损测量涂层厚度优化生产工艺
可见,在生产工艺中监测涂层厚度是必不可少的。总部位于美国密歇根州底特律的汽车零部件生产商AAM在法国里昂的工厂,在扭振减振器的生产工艺中,最近成功引进了瑞士涂魔师非接触式涂层膜厚在线测量系统,高效协助他们生产部门非接触无损精准测量胶粘剂的胶层厚度。为了使涂魔师在线测厚系统最好应用于胶粘剂膜厚测量中,AAM公司与粘胶剂制造商洛德(Lord)和涂魔师的生产原厂密切合作,共同对涂魔师新型测厚技术进行了专门针对性的微调以便适应他们的生产线。
测量胶粘剂涂层厚度的最大难点是需要在轮毂和飞轮的粗糙表面上进行精准快速膜厚测量,目的是保证涂层的附着力达到合格水平。但工件表面存在微米级的凹凸不平的粗糙表面(图1),当使用电磁感应干膜测厚仪时,探头的磁场会随着接触测试点的不同而发生变化,这种不规则的表面 (图2)会导致测量值存在较大测量偏差,导致涂层测量数据波动很大,重复性非常不稳定。

图 1 > 工件粗糙表面存在微米级的凹凸不平

图 2 >粘接涂层表面粗糙,电磁感应接触式膜厚仪的测量偏差较大
杜绝返工
AAM公司决定对工件实施全检以杜绝返工工序。他们需要测量每个组件的涂层厚度,而来自洛德(Lord)的Chemosil / Chemlok专家着力推荐了来自瑞士无损在线测厚技术——涂魔师。
目前,AAM公司成功引入涂魔师在线无损测厚系统并已经使用超过了四年时间(图3)。由于AAM公司对每个零部件实行了工艺监控,所以在生产工艺中能及时发现工艺偏差并进行涂装设备的参数调整?!拔蘼凼钦辰汗ひ盏呐缤可璞概缱斐鱿侄氯侍?,还是材料粘度发生变化,只要涂层厚度超出了合格范围,操作者就能马上发现偏差并作出有效的工艺参数调整。因此,AAM公司几乎能即时避免的产品返工工序。”涂魔师制造厂家董事会成员Andor Bariska说道。洛德(Lord)应用工程经理纪尧姆 卡雷(Guillaume Carre)认为,使用涂魔师非接触式在线测厚系统是明智的选择:“如今,我们的产品几乎能满足客户需求。多亏使用了涂魔师非接触式在线测厚系统,我们客户可以很好使用和检测我们产品?!?/p>

图3 >在AAM Lyon,每个生产中的扭转减振器都是使用涂魔师无损检测系统进行涂层厚度测量。将胶粘剂膜厚等多个生产参数激光扫描成二维码。
瑞士涂魔师非接触式无损湿膜测厚系统
瑞士涂魔师非接触式无损湿膜测厚系统结合了无损测量和测量固化前漆膜即时得到干膜厚度的技术,实现了在生产工艺中直接高效测量胶粘剂或湿漆膜厚这一众多生产厂家的多年愿望。除了美国AAM公司,现已有多个国内外知名厂家将涂魔师成功投入到实际生产中,并对测量效果称赞不已。
苏黎世应用科学大学(ZHAW)的研究人员Andor Bariska和Nils Reinke与多个合作生产厂家共同开发了新型光热法的涂层厚度无损检测技术,并在这基础上研发了涂魔师非接触式无损测厚系统并将其成功集成到实际生产中。该测厚系统利用涂层的热性能来实现涂层厚度的非接触精准快速测量,首先使用计算机控制闪光灯对未固化的漆膜或粘胶剂涂层部位进行短暂脉冲加热。高速红外传感器记录下涂层随时间变化的表面温度,表面温度根据涂层厚度和热性能以特征动态进行衰减,每个测量过程平均要分析100,000个温度读数,涂层越厚,冷却速度越慢。利用专门开发的算法评估表面的动态温度分布情况,最后可以定量确定涂层厚度。

涂魔师在线无损测厚系统专门避免采用有害光源(如激光、Beta或X-射线源),对人体、产品和环境不会造成任何危害。测量速度可达每秒测一次(1Hz),能轻松在同一零部件上进行多点测量。即使对于粗糙表面,涂魔师也能快速精准测量出产品的涂层厚度分布情况。
此外,涂魔师无损测厚系统具有测量精度高、重复性好、不限测试底材、轻松测量外形复杂的零部件,可测曲面,内壁以及角落处等隐蔽位置、测量各种颜色涂料等优势,有效保证与工艺质量相关的关键参数达合格范围。显然,涂魔师非接触式在线测厚技术与传统的测量方法相比,后者存在许多不足之处。
一、涂魔师非接触式测厚系统优于传统的显微镜等微观测量法
显微镜等微观测量法只能从组件中破坏式切割提取很小区域进行涂层厚度分析。如图4所示,但无法从局部膜厚测量结果中精准可靠推算出产品整体的涂层厚度情况。
另外,显微镜测量法非常耗时和耗人力。操作人员先将样品嵌入到载体树脂中,然后进行抛光打磨,最后得到一个可供分析的干净涂层截面。该过程可能耗数小时甚至数天,因此不适合实时的工艺控制。

图 4 >双层粘胶剂涂层的微观截面图像表明,局部涂层厚度测量存在较大波动
二、涂魔师非接触式测厚系统优于传统的电磁感应测厚法
如今涂装行业仍然普遍使用电磁感应等传统干膜测厚仪来测量涂层厚度。这些仪器的磁性探头需要在涂装后的金属部件冷却后,进行接触式膜厚测量。因为磁场会随涂层厚度的不同发生改变,因此可以根据磁场变化推断涂层厚度。然而,若这些仪器测量橡胶-金属粘胶剂涂层厚度,存在以下两个问题:
1) 在粗糙表面上发生较大测量偏差,如上文所述;
2) 接触式测量,容易导致涂层发生弹性变形,破坏涂层。涂层在接触式测量中呈锯齿形状,因此测量值波动较大。比较研究表明,磁感应测量法的测量值比使用涂魔师非接触测厚系统的测量值的测量偏差更大。
对于洛德(Lord)的Guillaume Carre来说,非接触式无损测量更是涂魔师的突出优势?!八梢粤榛钗匏鸩饬客庑胃丛恿悴考耐坎愫穸龋皇懿馐跃嗬牒筒馐越嵌认拗?,使涂魔师更适合投入到生产线中。”
此外,涂魔师无损在线测厚系统使用和校准操作非常简单,无需要求操作人员具备专业知识,且测量速度快和测试重复性好,可以协助操作者高效实时非接触监控产品的生产工艺,稳定涂装质量。
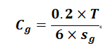
在汽车行业中,为了能严格评估测量仪器,对于涂层厚度的质量标准特别引入了关键质量性能参数Cg。Cg 值是根据Bosch博世第十版手册中的公式所计算,公式如下:

该参数与测量的两个重要参数有关:一是合格范围(T),它表示涂层厚度的允许范围;二是测量仪器本身的测量偏差(Sg),由重复测量得出。喷涂工艺的合格范围与测量仪器的测量偏差的比值不能低于规定的合格值。
对于汽车行业,只有测量设备的Cg值大于1.33才视为产品质量合格,这相当于合格范围(T)与仪器的测量偏差(Sg)的比值大于40。
传统的涡流或磁感应测厚仪测量粘胶剂涂层厚度时,通?;岢鱿旨肝⒚椎牟饬科?,这导致Cg值远远低于1.33。因此,这些传统的测厚仪往往不能获得质量认证。而新型涂魔师非接触式无损湿膜测厚系统对粘胶剂进行非接触式涂层厚度测量,测量偏差为70纳米(=0.07微米),计算得Cg值为4.5,大大满足了汽车行业的行业标准要求,而AAM公司之前使用的磁感应测厚法,其cg值却是低于0.4。由此可见,涂魔师无损测厚系统比传统的磁感应测厚仪更适合无损监控生产工艺。
结合涂魔师测厚系统在线检测控制生产工艺
涂魔师非接触式测厚系统在多方面协助并促进AAM公司的产品生产,例如关于扭转减振器生产过程的提供可追溯性。如今,AAM公司对所有组件都压印了含有该组件的重要参数的二维码,包括通过涂魔师测得的涂层厚度。Andor Bariska表示:“如果产品出现质量问题,生产部门能通过涂魔师及时发现组件的涂层厚度是否在合格范围内。” 并且,涂魔师可以协助确定哪个工艺步骤出现了偏差错误。AAM公司的Jean-Philippe Caillot表示,涂魔师可以实现在线检测控制生产工艺是其另一优势:“在AAM Lyon,我们使用涂魔师无损检测系统对产品生产过程进行完整追溯。将涂魔师在线式无损涂层厚度测量系统集成到产线中,及时纠正工艺偏差,这是使我们的生产工艺适应工业标准4.0的不断发展的因素之一。
即将把程序列入正式标准
Andor Bariska强调,整合涂魔师测厚系统到AAM公司的生产线这一项目进行得非常顺利及成功。“在有资质的实验室测量参考标准后,AAM公司可以自行调整设备参数。根据要求,我们还会提供证明系统可靠性的校准证书,并将会介绍涂魔师的测量标准和测量原理。各标准化机构决定了将该程序与DIN ISO 2808规范的修订一起成为已认可的涂层厚度测量方法。这证实了涂魔师非接触式测厚系统能可靠精准测量各种零部件的粘胶剂、涂层厚度,而不仅是扭转减振器。
留言-关于[ 涂魔师助力美国AAM公司非接触式精准在线测量扭转减震器的粘胶剂涂层膜厚 ]您还想了解什么?